contoh minit mesyuarat ringkas

SEKOLAH KEBANGSAAN BANDAR JALAN ISTANA KAMPUNG BANDAR 42700 BANTING MINIT MESYUARAT PANITIA SAINS Bilangan Mesyuarat. Minit mesyuarat secara edaran.


Format Minit Mesy Nota Pdf

Cikgu Saufi Setiausaha PIBG Mesyuarat Agung PIBG Kali Ke-34 berjalan dengan lancar mengikut agenda yang telah ditetapkan.

. Baru-baru ini pula saintis Malaysia berjaya menghasilkan satelit. Contoh minit mesyuarat yang ringkas. Buka fail menggunakan Power Point 2013.

Bahasa yang padat tepat ringkas dan. Ruangan ini mengandungi catatan mengenai perkara-perkara penting atau arahan-arahan kerja yang telah. Nota berkaitan dengan Minit mesyuarat.

Minit yang telah diluluskan oleh pengerusi hendaklah diedarkan kepada ahli mesyuarat. Beliau juga berharap agar pihak ibubapa mahu pun sekolah dapa tmemberikan komitmen. Surat Edaran Tahun 2010 Muat.

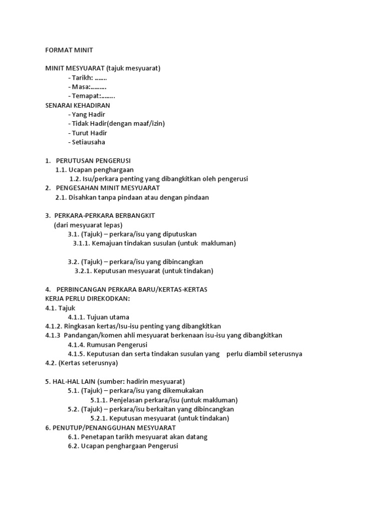
Contoh minit mesyuarat yang ringkas. Minit mesyuarat pula hendaklah mengikut format yang betul berdasarkan panduan yang dikeluarkan oleh Unit Pengurusan Kualiti dan Penyelidikan. Format yang selalu digunakan oleh pelbagai agensi jabatan dan kementerian adalah seperti berikut.

Contoh minit mesyuarat kelab 6. Serta grafik yang menarik. Contoh laporan ringkas mesyuarat.

Templat Minit Mesyuarat Ringkas - Templat mesyuarat Evernote percuma. CONTOH MINIT MESYUARAT MUDAH DAN RINGKAS MINIT MESYUARAT JAWATANKUASA. View Minit mesyuarat ringkasdocx from BAHASA GBM1103 at IPG Kampus Bahasa Melayu.

Semua maklumat ini dimaklumkan di dalam pemaklumat surat. Clear Jelas Comprehensive Lengkap Betul Correct Aspek Bahasa. Muat turun atau edit templat Contoh minit mesyuarat yang sah untuk LibreOffice dalam talian OpenOffice suite pejabat Microsoft Word Excel Powerpoint atau Office 365.

Betul Correct Aspek Bahasa. Prinsip Penulisan Minit Mesyuarat Correct Betul Concise Clear Ringkas 4C Jelas Comprehensive Lengkap 5. Telepon genggam menjadi alat komunikasi paling canggih di abad ini.

Prinsip Penulisan Minit Mesyuarat Correct Betul Concise Ringkas 4C. Notis seminggu sebelum mesyuarat Contoh Surat Memo Pemakluman Mesyuarat - Contoh Surat Panggilan. Contoh Minit Mesyuarat Pibg Sekolah Rendah Minit Mesyuarat Agung Pibg Kali Ke 7 2015.

Tempoh menyediakan dan mengedarkan minit adalah tidak. Portal malaysia nak kongsikan dengan korang tips dan panduan untuk membuat minit mesyuarat secara mudah dan ringkas. Semua maklumat mesyuarat perlu dinayatakan merangkumi tarikh hari masa dan tempat mesyuarat.

Untuk menghasilkan minit mesyuarat jangan ambil mudah dengan format minit mesyuarat kerana format ini amat penting untuk menghasilkan minit mesyuarat yang betul. Contoh minit mesyuarat sekolah Melalui blog ini juga format minit mesyuarat yang akan dikongsikan adalah dalam 2 bentuk samada format. Evernote menggunakan kuki untuk mendayakan perkhidmatan Evernote dan meningkatkan pengalaman.


Minit Mesyuarat Kick Off Bagi Perolehan Peralatan Membekal


Contoh Minit Mesyuarat Big Pdf


Minit Mesyuarat Sekolah Kebangsaan Bukit Mahkota Minit Mesyuarat Pengurusan Sk Bukit Mahkota Bil 1 2016


Contoh Laporan Tahunan Koperasi Sekolah Delinewstv


Minit Mesyuarat Pss 2019 Pdf


Contoh Minit Mesyuarat Ringkas Pdf


Minit Mesyuarat Pengurusan Sekolah


Minit Mesyuarat Agung Ke 21 Persatuan Juruanalisa Sistem Sektor Awam Kuala Lumpur Perjasa


Minit Mesyuarat Panitia Bahasa Melayu Bil 1 Tahun 2021


Minit Mesyuarat Pengurusan Sekolah


Minit Mesyuarat Panitia Bahasa Melayu


Contoh Minit Mesyuarat Kelab Guru Skbg Pdf


Minit Mesyuarat Pengurusan Sekolah


Contoh Minit Mesyuarat Persatuan Syarikat Kerajaan Format Word


Minit Mesyuarat Sekolah Kebangsaan Bukit Mahkota Minit Mesyuarat Pengurusan Sk Bukit Mahkota Bil 1 2016


12 Contoh Minit Ideas Weekly Calendar Planner Daily Weekly Planner Kali


Minit Mesyuarat Pengurusan Sekolah


Minit Mesyuarat Bahasa Inggeris Kali Pertama Pdf


Minit Mesyuarat Sekolah Kebangsaan Bukit Mahkota Minit Mesyuarat Pengurusan Sk Bukit Mahkota Bil 1 2016

Iklan Atas Artikel

Iklan Tengah Artikel 1